- 產品詳情
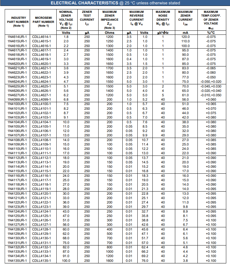
1N4099UR-1至1N4135UR-1和1N4614UR-1至1N4627UR-1系列是500毫瓦的齊納穩壓二極管,封裝于軸向引線的玻璃DO-213AA中。這些穩壓器提供從1.8V到100V的電壓范圍,具有5%、2%和1%的電壓容差。它們內部采用冶金結合技術,并通過了JANS級別的軍用認證,確保了在高可靠性要求的應用中的性能。
部分型號:
JANTX1N4099UR-1MSC
JANTX1N4100-1MSC
JANTX1N4103CUR-1MSC
JANTX1N4104-1MSC
JANTX1N4104UR-1MSC
JANTX1N4105-1MSC
JANTX1N4106-1MSC
JANTX1N4106UR-1MSC
JANTX1N4108DUR-1MSC
JANTX1N4109UR-1MSC
JANTX1N4111-1MSC
JANTX1N4112-1MSC
JANTX1N4112UR-1MSC
JANTX1N4114-1MSC
JANTX1N4115-1MSC
JANTX1N4119-1MSC
JANTX1N4120-1MSC
JANTX1N4122UR-1MSC
JANTX1N4124-1MSC
JANTX1N4124UR-1MSC
JANTX1N4126-1MSC
JANTX1N4126UR-1MSC
JANTX1N4127-1MSC
JANTX1N4129-1MSC
JANTX1N4135-1MSC
JANTX1N4615-1MSC
JANTX1N4619-1MSC
JANTX1N4624-1MSC
JANTX1N4624UR-1MSC
JANTX1N4625C-1MSC
JANTX1N4626-1MSC
JANTX1N4626UR-1MSC
JANTX1N4627-1MSC
產品特點包括:
- JEDEC標準注冊的1N4099至1N4135和1N4614至1N4627系列。
- 內部冶金結合結構。
- 在6.8V及以上電壓時,最大噪聲密度為40 μV/√Hz,并在較低電壓時迅速降至1 μV/√Hz。
- 提供JAN、JANTX、JANTXV和JANS級別的認證,符合MIL-PRF-19500/435標準。
- 提供符合RoHS標準的商業級版本。
- 靈活的軸向引線安裝端子,便于安裝。
- 能夠在廣泛的電流和溫度范圍內穩定電壓。
- 提供從1.8V到100V的廣泛電壓選擇。
- 電壓容差選項包括5%(標準)、2%和1%。
- 密封的表面貼裝封裝,提高了產品的可靠性。
- 根據MIL-STD-750方法1020,對靜電放電(ESD)不敏感。
